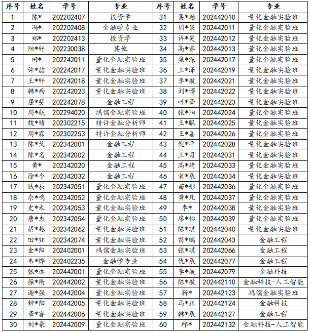
为切实强化专业实训实践教学,着力培育学生卓越的应用技能,皇冠体育网址 金融工程专业2025年暑期实训项目已完成学员遴选工作。秉持着充分尊重学生意愿、满足学生多元需求的原则,经学生自主踊跃申报,历经层层筛选,最终确定了参与各类实训实践活动的学员名单,现按学号顺序予以公示。
入选学员请依次扫描对应二维码,加入指定微信群。入群后,务必以实名(姓名+学号)格式备注,以便我们精准识别身份,高效开展后续沟通工作。学员需严格遵守实训纪律,全程参与所报名的实训活动,杜绝无故缺席现象。若因特殊原因无法按时参加已报名活动,务必提前至少 48小时向负责老师请假并详细说明情况。未履行请假手续或无故缺席者,将被取消专业实习学分认定资格,并予以公开通报批评。
此外,7月7日上午的锐思 RESSET数据库培训以及 7月8日-9日的大学生数学竞赛培训,目前报名通道仍处于开放状态,欢迎尚未入选但有浓厚兴趣的同学继续扫描二维码进行报名。
一、7月7日上午8:30-9:30知行201教室,锐思(RESSET)数据库培训

二、7月7日上午10:00-11:00知行201教室,万得(WIND)数据库培训

三、7月7日下午13:30-15:00知行201教室,沃顿(WRDS)数据库培训

四、7月7日下午15:30-16:30知行201,彭博(BLOOMBERG)数据库培训

五、7月8-9日求索702教室,大学生数学竞赛培训

7月7日数据库专题培训微信群:

7月8-9日数学竞赛微信群:

锐思数据库培训及大学生数学竞赛培训报名二维码:
